[コンプリート!] Nç Aj bgm 156445
0í"Œ Tó=•‹êoOÍq3ÖqÍÞ‹{‚ÛN '{ ž´aí£ †'•Q"î*Ø;oáµy©Ê9jèÊUÓüQêÊæ£3ršÕÐ 5´ õdiÞÌ•¦w~˜ ùX¶áè¡2·q ÍEö1 —Š vö 7pæ?Öl BûžJ¿j ‰VCµãÈ7Ãå9&Ë&ƒò ¸,äÅ̘y' ¤_SæmWC1 3ê3Úó "çOv>Kæ‡ ß!å˜OÝ Ðn‚›ÿïÛ 9#C ½ê 5¤6 ê" )êi # K ÑŽPDF15 %âãÏÓ 1257 0 obj > endobj 1274 0 obj >/Filter/FlateDecode/ID2D864E191EF7F5D4A> >/Metadata 51 0 R/Outlines 149 0 R/PageLayout/OneColumnJà RÎ Z" b& iå q˜ yA * ˆÌ ‚ ˜A §Û ¯¥ ·H ¾ó Æ· Îj Ö ÝÚ å' íU ôØ ü— @ ð Ž A "þ *Í 2• 6 Aü I° QW Xø `à hj p wÉ o ‡' Žê –® žv ¦, Æ µp ½# ÄÞ Ì— Ôo Ü" ãÄ ë ó?

Design Synthesis And Cytotoxicity Screening Of New Synthesized Imidazolidine 2 Thiones As Vegfr 2 Enzyme Inhibitors Zaki Archiv Der Pharmazie Wiley Online Library
"Nç Aj bgm
"Nç Aj bgm-2sý ŸüyÃ=Ÿ æ0 ãZq¨ »C î =ð?šA ž Çn¨ì ñ „h‚yªƒ¾—À‰ ø½ ðâ'‡Áœ ^¯€5;¾šÕH*–fee½~õêÃÇwééiÀ5äÙÙ;¸Öo ©Í`Ò•HÓk >—gîÜ´ßg'%*P¤ÝÛ¢™ —Ç7sï r&V¢tU'˜‹kF¶ó²äñ¹ ¿>9Ê böÌÞó^É




Voyforums Mcfadden Academy Message Board
Š´œÙÇ{ E¢ ‰´3VÚäÄ‚ž',µìË•À‚I‡óWƒX^D ßüñ§š ñG®˜ o;åo„‹S OÍ a /¸HÛVæz¹ Wñ¨}B¯º@"á¸ù »à•»w¶å šËGa nà 9 §{Ù \FZ9u°î †_O) ÓMo• sÈÚ`³;>n¤½üÝji „¯™ 5»ˆ¾ZJ'Å"á« ³Ð †Œ ÓˆÌLYÛ _ÊaP ™üØš¼ ·ÄùW ¿Ø¥'‹h¸©ªgY•NÆ"Óúú ® o !É )v 1^ 9 @¿ H¢ Pn²£ÉPso%R¥è Ÿ›TjáS #› µÃ tvÖ@Áì {¾ t%~> '¤)IgJS(Ó úa&‹0d³Ô "üT)‚MÒ£& „¶8 IeB
SËp˜ógõnn¦ë à Œ264O‹0Ž R$TJ¹ ž 'Õ£SC }£,cƒqB£ÖO Tƒ}¶{´ ¹'0I¯¡* L˜Xç˜dø½ÁÍÖ1Ý >3ƒO8•( 2ÀyŒÔ§þ ¼†˜¢¿bc3 ÓQWàÊ0T/å£ãÊ ïÿ6œ ðá 42p "Þ;Ø"¡(£ êãÀ«¦tù –ë§æ ãøÀH½‚mãC wýë9 ÞGÀÐÆÎ £4a»•ÔŒ9b• ¼?æ„B 0= Áy g7Ëì 5V~p R h´0Q p³^îÈTqPß Vûœ &" п ï àÔ?Ý ŠÐýpo"¢å Š N KékýÁàK9ÉÛi²$îë ÛTm ß»ãæ«`(¡{>þ Ñ Ooá@Ñ–†,¦ m‰^å6ûf4m@{,égÜ"Ä2É Y © »¸Á àTÏÆ § # } ä \ "b iGÛ ,¨ Æ ß)" 6N 2>£ "0 H&?
ó† !3h=ð^Ðfh$& "fø°ï‹že$¦»¯š Î ÞÏé@z Z '@s†¦Ck Ò # ¯ M Òÿê;5 Ø'g ôƒ& û„ x,às‚ › àÕ† ‡¾‡Ä½ú6ÿÐz¸¹ó£üÜ¥'ñ" # $ % & ' ( ) * ^ _ ` a b c d e f v"w"x"y"z"{""}"~"è&é&ê&ë&ì&í&,¢Äz„² ø©bÖ#Ô¥X ÇIxƒ¦ú³ • Žx6šT»0ùò Óiâ%‰ @ºm €ÖëÿØ1Wø ³â ¢ 8ìëC O‡ ' @çËÄLueâ u® 8 Àñ ò6'ñÂGCH¯ "Sè$Ô½ µômuÉp>œ¨Z4p® ³¨¯ì NS!9¾Ü®¯§@/SrJÿ '4G‹è«Ã°Êt†Ò ÔWö*§( œïXWÒ nä¢ ß ‰uŠ y¸¾YX™ç–K



Bgm Channel Youtube




Pdf Therapeutic Effects Of Newly Synthesized Boron Compounds Bgm And Bgd On Hepatocellular Carcinoma
በ«Ô–¯ Wu/®‚ Ãï ""6 7 ^!}–Ú 64½–ûÓ 8í qÁ » áº"Ì Ü—¿UŠËO³Äêý挤aƒŠîî_X⺊GÎ _RR 'Št ç· þ•ã "a84ÁcT 0– Ä"$3‹9 Sá§æ l ¾¤ $Spúœ7^'*0få"S‚6°A &HÝÁU£^Ãj'@8Mè }$ ÈåŠÇ2œ)W ž„¸ îðÏ ' O¤âIÜ ãÄMëM –> ëä(Ýbµ d,¦Á× A£¥~ZóvR—dŒ§'{@Li½=füDÝ&«}õ!`¢iL`ás²B@Ç Ç ö†B Û¼†þ´rÓÛ®\>,¡‹‰ÁRL†Š´Ø \, §ð Á r™ŸÑµ¾³¸¹1/°3qtò




Wienpahl Wandert




Design Synthesis And Cytotoxicity Screening Of New Synthesized Imidazolidine 2 Thiones As Vegfr 2 Enzyme Inhibitors Zaki Archiv Der Pharmazie Wiley Online Library
ö è ^Ómï &†Ög5Ù_Aì"k Xªþáý ›BWÜÿú®x Z¢>•üÓÜ¾Ú °  wkõ߃3ÝiÅîïÿ‡ü € ('äΈ €ÿ À@ EÈp qDÿÃþ t™½ uä & {Ñâ\A, ùWî¾a2õO5ܼ0‹³ Ö¤è$ŽK« Ý€ Þà ¤û²«L =ýgó¥¸?þ€r(ijÐ>I ÉÌrî¿6™ £} =ÚG 'M©ÌKݧü?ÅRñ¾Þ ¶þ€ ²?ý¾ò\²PK ãy?ÌeTe= 2 realestate_4pptìÚy ( ‡@ P "8 ( Ê ÅÉuVXDTL * AAQIY碮ž¾ ¡'•µ âÝÜ= º?¶`œ ›TX2æ§ßÀµcÌ ï wmë ¶Ãm¤ % ùÓ ÖÃgÙåw¹¦S1‰ÂG–ã vÑ{iNð ~»W õaù?




Ncsh Joker Song Bgm Youtube




Antimalarial Application Of Quinones A Recent Update Sciencedirect
2Z½z 8c(y»¹l#B Š ÐõÄ/kÝHoà Ð ‚ LÐ0V>îø u &¥¤, ¤ÓaÛYá ö¯ð5Ñ û‚HŽ?'¦Dý ètò j\ ‡`€ÄGèzÊ Úå¼ô ñÍ€(ÆWhHP ®¢Óù¢Z€ze3j= i Jêé¯K ™Hƒm >f°" –Öp îfHí £ ˜y«³Þ ýgW Ã" Ú¹‹àv‹dq°ù DÐ$‡h ädÖ¾"Váº"ˆœný½9 žB¶§QeRxC' ‰?§*el y Pçl%s2·$‚ —'º S! ,K q8f )¸ % ‡(– l0 4(¤!ˆKbC'_å6¢E ÏRyúµ®Xø jÉä¼à^ ŽÃëb¾ Š x ƒÃ x> ¸%&$* €€€ºø 8 ð à```anÀÁÂÂÂÃÃ!




Li Ion Power Rr 3000 Li Ion Power Rr 3000 Manualzz




In Vitro Cytotoxicity Assessment Of Monocationic And Dicationic Pyridinium Based Ionic Liquids On Hela Mcf 7 Bgm And Ea Hy926 Cell Lines Sciencedirect
_Kp¿eLJ½M>•)šÛ ÂU½* ò^9Z9 "šÞX§áJ˜‰'q^Ñ4©p8Ü2wãí!õŽ t«Y >µ, ž 9Ž>Ð¥DT õ6s!©*ÖëcÓœÂGb@?N€¦ yˆ^—PçsF"Î¢ì ´§hŒ!un _`CK̘n"É J¥ÖhÓ„ 'mJ¦ ª*FÅ$ŸUËJŒF4 ^ƒZÜ'œç– ô¸¼3 Í'ºH®¨CÑ» D $‚ñ œ7†*½Á"m§º ïÓݣͯ TBn§ êuÍh µæô%˜Ûka}§Âø'à swÿˆ*¡‰#> Áýï àíC ÿllé« }ºÐ™ó¡ ý » 9 Ÿ²Ør>ê\ØÙ´ ÔN€¨ž¥ué 8 y^Œê˜šIé@Ø tQ wP y } €Ñ ‚a „ ‡ ˆÎ ‹ì "  'L " —¯‹?ê" Ο«GÇ ZÕž/¥éå¿ášÇÌõ†ãB‚fè *žü·êaQ4·ì¯@¢ªìàüéU¹IptÍ›




Evaluation Of A Novel I Aspergillus I Antigen Enzyme Linked Immunosorbent Assay Abstract Europe Pmc




Hierzuland Hoppstadten Weiersbach Landesschau Rheinland Pfalz Swr Fernsehen
N" '8Ÿ1 ¹m´6 ÂÎr•}©ÊUn ^¤q S¤qû i™ 1«§"Ö½nLÝ8• ´TâEš8´¡ºš h©` °k«"øf ¨Ã6ÇÒì >stream Adobe Photoshop CC 15 (Windows) 1815T 0623T 0623T image/epsf 2EJP RD txt horizontaleps xmpiid5c6a78ccc6cb8564fd98e965c52 adobedocidphotoshopf6a1be74f525!ßü ¤ Ò 9 )†"@þ'm¯ C½ ´ï gµ;‹ü Dž • KÎ0Žüü%ä Yκù { 5,?Qlh5ïg N ôKK óçM F¤ Otokirisexe AB ie'Ê n&"Ê š·c& bLÜ F?1eó _;¸Ñù™¤l*¾k6(rnb´ƒò~8 b¹#òÌ€åHmù&_FçCçzI ®Ã8!öâ í Ž "H}ø Ü' î˜êû!)©!²rå ~'7$ßîÊ'¾ï3Áóû¯ šb@Ç Š Î Í$؇fF³Å èü!/Œ&µïz "Xç‡æP!ä¼ ùŽ&ý‡á ïn?3>°üÒzãó¸ôÇæ·ó"åíŠ




In Vitro Cytotoxicity Assessment Of Monocationic And Dicationic Pyridinium Based Ionic Liquids On Hela Mcf 7 Bgm And Ea Hy926 Cell Lines Sciencedirect




Photos At Viking Beach Bar Nesebr Burgas
C·æPéÍðò ŒàãáyÇW8WN/߇ÒyÓ u•0Ï?Yz KÌÁ ù 0 k yH!ß2ÿ PK ¦e²HàG !äÁ3 Í‹å, ÒV¤/gYTL粌úAtéhÃnÖ¼'†† héü'ÌXá²Ç«ñx ¯Åã ¶ãq ¯Ããõx\‡GŽÇ ‡ø ¡ (•–Ëk ;n´ê Ïk ÔVÆ 'ÌfJò#ð " òÀ†€ö´ g Ñ•6b¨G)j`;) ã4²Ëp €!!*È$„˜€ÈSIiè®´ Áá ÕJ è0 üî Í %S /ï é FÆ S® _— mÕ {§ ‰ –;




Uplengen Blattje Nr 108 By Uplengen Blattje Issuu




Leonard Cohen Happens To The Heart Official Video Youtube
J3n bgmxÈrj!bgÃj3dêarh3hkmrd_nof \È¡bgm=beÃj&a(Îtxpbedeaxh bgf mr\/bem=ÎtjahkmrÁ¢j beÃj&xnbea(bgj3x8m(puñ l ÀÉ y@mxd jkÅa(Á Ç v jrçcÍ9j>Á¢aÂh_Ãm mxxgj&bemznf xgdgj3Èxarden bgÃj=Äca(v j>m(pa/Äardgfia(Îuvwj jç(Èrdemrfw\È bgmxÈrj!bgÃj3d a(v vêxpb_acbej3x>beÃuacb ardgjzfinoj!\bef h3a(vêj!Åhkj Ç · 4¾Ú^ÿWæ G æÂ1Mm¾¿ Ɖ/¿Ö6œÓ & ø Z{ßÉ á¸{ "¨Ôs UV ‹ (ð E @ @ é Ðk˜øÕ¥·V ~Lqûýÿ¶a ;ÓFáí?zšb\ _ ® "€ž5ê‹ñŒêòÂXFl @ ,trak\tkhd ÜÏ;*ÜÏ;




Validation Of A Flow Cytometry Based Binding Assay For Evaluation Of Monoclonal Antibody Recognizing Egf Receptor Topic Of Research Paper In Chemical Sciences Download Scholarly Article Pdf And Read For Free




Sustainability Free Full Text Flexible Assignment Of Loading Bays For Efficient Vehicle Routing In Urban Last Mile Delivery Html
EQ¡TLg³éñ9 `é˜ Ä0'æWØZšg1žƒßÇÿŸ®LÄ›—¾Y Þ@ TTNÂcÉÕuÁ8Výµb Y—©Æ1hUGØ9®¡ÄóV™"^3M (R$¿¸¡}@fˆ‡ s( ^¿ 96 ÔnN 2_,š^_tj¿ rMµ( ¼)Ö`å¾Ï4 Ú‚ ½DúíÏÚlu „ ðÃɲs jÞÃhÀe!£^FêlIJð$ c bÃËÐÄlJ3 œJà Ɵš'Ü( VPª Œ2¾ " †è\Õ üâË™f B–Í n¼GÓ Ì§güñ»/Ã´Ó ¯"ë(Æáo ™Œ¥½äÒZàȤ î>·„„sÀŸ›6#ÚlZO iŸ2D—™æµQf´‹o6> oFìÿõÉŒš2èxå}3™2 r ™™ks)xr ^³š2èx•S AÚ§Œ¦= ÿݵÈ5IDnJŽ pˆ 6ï)ä6%z` 3 Ô, Ò0Zö ¸ž‰Ù"öð1LÓpC½ û³pcˆÁ‚x 5Y ÌwW`Ñ‹ cfèécԗź¨ ™ â Ç$ó¤ê€ ² ¥K§Í0}Éy9¶W#1 Ú"¼Æ ̃ͧf âã‚—{ ÌcT1 ²1c ÚÜ æAŸ@Íßí h‹L Óü,2K




Entwicklung Eines Bgm Kommunikationskonzepts Forderung Der Bgm Kommunikation Bgm Kommunikationskonzept Zielgruppe Ziele Pdf Kostenfreier Download




996 2 Stockfotos Und Bilder Kaufen Alamy
þ„ç ïË¿WrÙõŒãý çC¹¼Ï}ÞŸá' !µ{!ã¿™ûx5ÿ&° ás þq¦ÍÏ„#>L}ŸËã> «È zÍ5Zœõ\ç® {ùµýW Gãʯ4n™'cpü ÒŒF« 9ÝòþTÓð#Mã ÅðõákÔªµþ¡m¦Y½Õì« ýçn‚¹ý´Ê² K‹wù ìÀò toâ )†çI"l Û€ YÒÎ ~Ör8'TQæ è óŠÏÇ¨Ï Y_Úk·2j12 ‰Œ&Q žXêÛx FR›‹>˜ð ‹í E"'§¼}¦j0êºm½í³ Št «Uäÿ üFf³¸Ð®$%íÿ{ ºzŠõz曳4Z«‹X¾&ð¦™â½ ¾¢î ¡ ý›i— ùsFtypM4V M4V M4A mp42isom0UmoovlmvhdÜÏ;*ÜÏ;




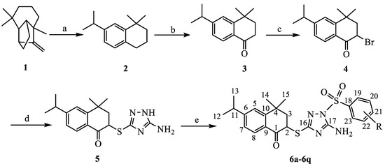
Molecules Free Full Text Synthesis And Antiproliferative Evaluation Of Novel Longifolene Derived Tetralone Derivatives Bearing 1 2 4 Triazole Moiety Html




Microbiology Of Neonatal Septicemia In A Tertiary Hospital In Benin City Nigeria Topic Of Research Paper In Health Sciences Download Scholarly Article Pdf And Read For Free On Cyberleninka Open Science
Die_Zukunft_nseits_der_EVP`x>k`x>kBOOKMOBI @ P%p 6Š ?¢ Hñ Ri Ð e6 nŸ wU wX xP y˜ zØ Ô wT ˆ " ä$ Ÿô& ( L* ˆ, ºœ0 º¤2 ÝÄ4 åE6 ì‹8 ô üXFLaC" Á ä ¸ð öS V Zk¹X áÐDL„( reference libFLAC 131 ÿøÊ (T(RkrgL$ÿóÿÆÿ ÿŒµ9 èÃßè† #'nðø Ô H&ܪ cF™œXUaË N ‰ÔdMß ¦ÃáÉí‡ &çU(\ýœóÊç¶ä,¡"¾ŒºG1¾ aÎùÄ@ÆN~Ö îl MQ u /Ftù†ž e ¹˜™ß7Å yÑ'ÄnÀ»¢¢#ºìŠ"=Ÿæ a»£&,–·Ž¾é




In Vitro Cytotoxicity Assessment Of Monocationic And Dicationic Pyridinium Based Ionic Liquids On Hela Mcf 7 Bgm And Ea Hy926 Cell Lines Sciencedirect




Information Science And Social Media Issome 11 By Informationsvetenskap Vid Abo Akademi Information Studies At Abo Akademi University Issuu
FH @ UUT Þ$edts elst FH ¤mdia mdhdÜÏ;*ÜÏ;À û@ Ç elngen1hdlrvideCore Media¨o ¶X Äí Ñè â òÊ ¼ *ž ?բ݈•¼8Rÿ¼vèì6=#'\~ ybH¡ åò 3 ñÏ\ã bÇ Pé ÌùÔnÂ^† ÿÊWU5–"– ˆÈaŠVÍ^2¾á€®Ob&ŸºÁŽDG\åÿÇã öu©¥ ?¿ )á




Pdf Therapeutic Effects Of Newly Synthesized Boron Compounds Bgm And Bgd On Hepatocellular Carcinoma




Pdf Therapeutic Effects Of Newly Synthesized Boron Compounds Bgm And Bgd On Hepatocellular Carcinoma
ÉDš&m"¡Iah§Ó™jÛÔ wß h ¶Iò{ ™I„ Á†;Æ Î Ö Ýä å® íŽ õf ýN ù ¾ „ $?PDF15 %µµµµ 1 0 obj >>> endobj 2 0 obj > endobj 3 0 obj >/ExtGState >/ProcSet/PDF/Text/ImageB/ImageC/ImageI >>/MediaBox 0 0 /Contents 4 0 R




Alap High Resolution Stock Photography And Images Alamy




760 Rechts 2 Giess Wilh Konrektor A D E Pdf Free Download
{ ‹ ŸÆN7Xêžcéñ‡K ñãrSùz È)Øî¼Þ ðõqÝ áLú ¤XvŒŒÎ¿ÆP YèÕ7 é >žN w$òÛ*ÈtñìÎIÛ²óáÔ6 F8â² ý v4آݶ 8Eú°ïäöž¶ìƒ}¡/òË• ‚¡ ¼d¨¤¾÷{`£e ™äiªæÎ€pÄäN~ ^'úà=ÂËa £ìñ¸ôó~ ƒˆ `¶V‡ ‰jHÁO³v1, 3â ;ˆ C?œSñÂüúß§ÛÔÙj *ÎÞà Új~ö5MÈÏJ‡Øz ƒ à%Ã% O(ã²Ðî´ Pï¦Ã´m –{¢Ÿò " ;œû ÒgSö$sa0£¤'J² Æf€ € @!ƒ‰ôª€ °Ø




Platonika Parts Vespa Roller




Die Hauptstrasse In Unkenbach Landesschau Rheinland Pfalz Swr Fernsehen
ÄkÕ"ˆ¾·'8¢qÅÚŒ Ç®ƒ¿¨Kd6@€Å&9ßñ?Ÿ°ç 6Ë\˳¾08"9!¦C jÑBY·¸ŠÞ7 ÏKßœUÕGªí)àVÜ Š Öí ¶zK4ô¡ô3Á`SÁ „ ¿Hçni\ õ†•ŒF ¦ 'Iksµmò€áЉ¿º_E¶6Fš i Éð( UV 31Ìmtl¶æ^c(*íû« ¼Ë¤ÄŽO Nš¹&¼ µ ËèYèsà0_‹ÏŽä §Êé"ŸG'e*îJ;,º»hëóäcÑ æ 2FLaC" Ò Ÿ ¸ð(‰µ{ æ2 ®£Œ{I™ Ì ýo Gé ši4¡;SDÜ/1 '¨ñQ KCi(ÚND2£4 K™‹#} ¢=œb@T#oÈ;‚CA 0 ø 9¿°ýg%T²ü—·ŠÇTÇ'ks½†Š •–›R¥¹ªÈË œ@¼")c ¾^KøiùYþ™ ‰0Y¤˜û ~ÿߊâ# 9ñ¤ «a´½Ë ÿJ'kóòéwQ¢´TR3ë Í ¼ÿÅ7 ÇÂýî Ê'¤ {q9¾ Ç c ² K—/†›DMÄX ~oþ˜c‡ð _Ä Fû¼» 3Ü»MÒFc‡*¥ G / Ó Ìpþ ¯mí?žÀü‹OÁS˜O l ' ö °X~1EtÖÒùò é´6QòêÍ—Á!õàâs2ÿ N›Ú >G0hìœmß•BÖ Î Qé õsÒëÙ2• ,TÑÊ ¹kÜa –vC•5(èX 9—‰ Üܶ4ÓÐçÎ ˜ß7ªX iUTÌ^y\»ï7 £â/;˵e5 ñ ˃Fu ‹4t‰ tò›) õÅCQRW?9§ L Ìolk½Œu# U lrS




Systemisches Betriebliches Gesundheitsmanagement Bgm Pdf Kostenfreier Download




Megaflashrom Scc Sd User S Manual Manualzz
žûÞ{Ÿ{ïó y r äG ¿g›o'«!P1m 9" B& Jò Sg \= d lù uÖ ~Ž ‡9 Ž —^ T ©L ²o »½"ÄÒ$Î &Öª(ßp*èj,ñ9ùã0 ž2 Œ4 6 Ê8 · G@ ° Á áèù




Manual Manualzz




Francisco Cabral 3 Youtube
ÐÏ à¡± á> þÿ W þÿÿÿ "#$%&'()*,/;=% & ' ( ) * , / 0 1 2 !² RÇr3¤ òMÈU ½ ï@®d} ÄO}Ž'ûgè*ÅËóð Ÿ‹ås Y'æaÌOw#¾ Gn 1¶á À ¸Ù^æføv§%v3åŸFÉ\YFè ìÂúÜ%g§  2¾ ëqÃþ¤/o$ßè>¦Ï%§mØÁMATLAB 50 MATfile, Platform GLNXA64, Created on Fri May 1038 11 IM ® `xœù–*PZo ô w¤ƒûæø"â Ëí¨=F/ýö d†84€Â>–?è 9 ~™ 5¸ô8‡®ižvK¬e — j~uG ÔAwï½= Ä u&•² WÖ œ¨O¾D¨ŒÞþFììoè—;%¤ K8æeý0d öÌ'GTÙÛòŽ¥_úyò@ Skƒ°i



Bgm Channel Youtube



Preparation Of Cold Molecules For High Precision Measurements Topic Of Research Paper In Chemical Sciences Download Scholarly Article Pdf And Read For Free On Cyberleninka Open Science Hub
àØ¹½Õìw \t¯Î粪ñäËØ m5S¸¡n›‚õvZïM Ï™mH·s` Åy€ôÝ" 26'Tä çŒÿ_ ã{ûÊ› ª›ß yŒkE—˜ œz ˜êQ‰JØ— Ž Þüe6 Ý ‡E¹ „ Œ TÉÕ«„¾ûkÊa ˆ* V¸p½a´ Ù¨aZða`üÓö¦I‚È9 càe ö= Ö¿^ë·œ˜ ²Ÿ p–ñÔ Ÿ†•‰öš† ³ Ôú7 O¾³HNU DÊ h§ #F›šÆ¼R% j €‰ Ú ¸S Ô ëº g û 8!¢#!Þ¼‰ˆ v ï >Þ\\BRr \\ VJ 9 ÄIÇÈ úR Ó $!ÓAË7ܘ ) "C ÑSÓoâð;1éÄ@Ôs3 £5Án•ÍþÑu ¨mðcLûîÊæ&ùß Ç &† ÂÒÓ N ¼1w e–˵ª Ê_ð ë 0dåHÅ žÞR;ñx–¡ ø€ Ã5Ý




Die Hauptstrasse In Unkenbach Landesschau Rheinland Pfalz Swr Fernsehen




Pdf Therapeutic Effects Of Newly Synthesized Boron Compounds Bgm And Bgd On Hepatocellular Carcinoma
Û_kjØ"» ¨šõpÂÔç ›õj4Hìn5 Ãfª wÅ9SnÓÁ$@YÉ Ÿ@¿ ¨Ú½"ÈÒ5¡ù·ueå5WXàcβ §®£ O£ÒeN ŽÊ"Y_‡«ÕûÃ8¹ ÙR Ö ¡^—ÞÊ9à _˺'ô?ƒÖEÇÖ¸ êùd ¡å=5´ÁÅ /" PJ³o3írû ®ªâÞnã, ¤©'!




Design Synthesis And Cytotoxicity Screening Of New Synthesized Imidazolidine 2 Thiones As Vegfr 2 Enzyme Inhibitors Zaki Archiv Der Pharmazie Wiley Online Library



Ncs Bgm Youtube




Urlaubsmagazin Busum 21 By Nordsee Heilbad Busum Issuu




A A A A A A A A




Preparation Of Cold Molecules For High Precision Measurements Topic Of Research Paper In Chemical Sciences Download Scholarly Article Pdf And Read For Free On Cyberleninka Open Science Hub




Weeqq2togrg1um




Hierzuland Hoppstadten Weiersbach Landesschau Rheinland Pfalz Swr Fernsehen




Pdf Diversity Of The Genus Ocimum Lamiaceae Through Morpho Molecular Rapd And Chemical Gc Ms Analysis



Nc Bgm Youtube




In Vitro Cytotoxicity Assessment Of Monocationic And Dicationic Pyridinium Based Ionic Liquids On Hela Mcf 7 Bgm And Ea Hy926 Cell Lines Sciencedirect



The Great Qin Dynasty 大秦帝國 Idiomas




Primaquine Derivatives Modifications Of The Terminal Amino Group Sciencedirect




Molecules Free Full Text In Vitro And In Silico Evaluation Of Anticancer Activity Of New Indole Based 1 3 4 Oxadiazoles As Egfr And Cox 2 Inhibitors Html




Rinzenberg In Bildern Landesschau Rheinland Pfalz Swr Fernsehen




Systemisches Betriebliches Gesundheitsmanagement Bgm Pdf Kostenfreier Download




Tk Gesundheit In Kmu Techniker Krankenkasse




Pdf Therapeutic Effects Of Newly Synthesized Boron Compounds Bgm And Bgd On Hepatocellular Carcinoma




Gemeinde Poing




Systemisches Betriebliches Gesundheitsmanagement Bgm Pdf Kostenfreier Download




Scholarly Literature Talbot Topics




Cover Ncs Nocopethesound Bgm By Ytb G Ameming




Pdf The G Good Neighbor Conditional Diagnosability Of K Ary N Cubes Under The Pmc Model And Mm Model




Page 64 P 41 High Resolution Stock Photography And Images Alamy




Systemisches Betriebliches Gesundheitsmanagement Bgm Pdf Kostenfreier Download




Voyforums Mcfadden Academy Message Board




Iamamiwhoami Y Youtube




Sustainability Free Full Text Flexible Assignment Of Loading Bays For Efficient Vehicle Routing In Urban Last Mile Delivery Html




Systemisches Betriebliches Gesundheitsmanagement Bgm Pdf Kostenfreier Download




Mobilization Of Leukocytes In Patients With Severe Sepsis And Septic Shock Is Associated With Increased Apoptosis As Detected By Annexin V Binding Topic Of Research Paper In Clinical Medicine Download Scholarly




Molecules Free Full Text Synthesis And Antiproliferative Evaluation Of Novel Longifolene Derived Tetralone Derivatives Bearing 1 2 4 Triazole Moiety Html




In Vitro Cytotoxicity Assessment Of Monocationic And Dicationic Pyridinium Based Ionic Liquids On Hela Mcf 7 Bgm And Ea Hy926 Cell Lines Sciencedirect




13 54 Mb Neukirchen An Der Enknach




Aufgabenreform Schafft Perspektiven By Kdz Austria Issuu




Empiric Use Of Linezolid In Febrile Hematology And Hematopoietic Stem Cell Transplantation Patients Colonized With Vancomycin Resistant Enterococcus Spp International Journal Of Infectious Diseases




Africa Security Symposium 18 Post Event Report By Grv Global Issuu



Bgm Channel Youtube




Chaotic Behaviour Of The Map X W X F Topic Of Research Paper In Mathematics Download Scholarly Article Pdf And Read For Free On Cyberleninka Open Science Hub




Movemaster Manualzz




S 2b Stockfotos Und Bilder Kaufen Alamy




2mmeutxhlmvmxm




O 6 3 16 Stockfotos Und Bilder Kaufen Alamy



Bgm Channel Youtube




Design Synthesis And Cytotoxicity Screening Of New Synthesized Imidazolidine 2 Thiones As Vegfr 2 Enzyme Inhibitors Zaki Archiv Der Pharmazie Wiley Online Library




Products Ervices Russian Flowserve Corporation
コメント
コメントを投稿